无线传感器网络基于聚类的分簇算法研究

无线传感器网络基于聚类的分簇算法研究(任务书,开题报告,外文翻译,论文12900字)
摘要
无线传感器网络作为21世纪最重要的高新技术之一,受到了人们的广泛关注。由于无线传感网络中的每个节点都是电池供电,能量十分有限,为解决这一问题,本文通过分析国内外对无线传感器网络研究的现状及相关背景发展,根据无线传感器的相关理论,提出了基于K-均值算法改进后的BPK-均值分簇算法,并通过仿真实验说明,这种算法能有效地平衡节点的能耗负荷,大幅度延长网络的使用寿命,使网络具有更好的鲁棒性和较高的通信效率。
关键字:无线传感网络;均值聚类;分簇算法
Abstract
As one of the most important high technologies in the 21st century, wireless sensor networks have received widespread attention. Because every node in the wireless sensor network is battery-powered, the energy is very limited. In order to solve this problem, this paper analyzes the status quo of the research on wireless sensor networks at home and abroad and related background development, according to the relevant theories of wireless sensors, The improved BPK-mean clustering algorithm based on the K-means algorithm and simulation experiments show that this algorithm can effectively balance the node's energy consumption load, greatly prolong the service life of the network, and make the network have a better performance. Great and efficient communication efficiency.
[资料来源:Doc163.com]
Key words: wireless sensor network; mean clustering; clustering algorithm
[版权所有:http://DOC163.com]


目 录
1 绪论 1
1.1研究的背景及意义 1
1.2研究的基本内容 1
1.3国内外研究现状 2
2 无线传感器网络及分簇算法相关概述 4
2.1无线传感器的相关概念 4
2.1.1无线传感器网络的定义与特点 4
2.1.2无线传感器网络的体系结构 5
2.1.3无线传感器网络的性能评价 7
2.2 无线传感器网络分簇算法简介 7
2.2.1基本概念 7 [资料来源:https://www.doc163.com]
2.2.2无线传感器网络分簇算法优点 8
3 无线传感器k-means聚类分簇分析 9
3.1 无线传感器K-means聚类 9
3.1.1网络模型 9
3.1.2 K-means聚类算法思想及步骤 9
3.2 无线传感器的簇头选举 12
4 K-均值算法的改进 14
4.1系统模型 14
4.2算法的设计思想及描述 14
4.2.1问题描述 14
4.2.2算法描述 15
4.2.3算法分析 19
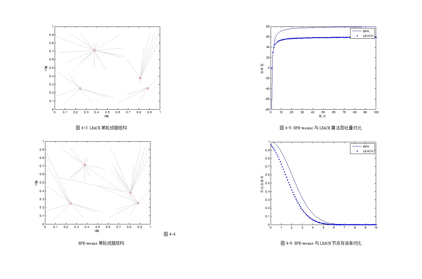
4.3仿真实验与结果分析 20
4.4本章小结 23
5 结论 24
参考文献 25
附 录 26
致谢 29 [资料来源:Doc163.com]
